No audio available for this content.
by James T. Curran, Mark Petovello, and Gérard Lachapelle
Within a day of their initial activation over central Europe on March 12, Galileo satellites were visible over North America. The PLAN Group of the University of Calgary was successful in capturing and processing the signals from these satellites as they emerged. Galileo PRN 11, 12, and 19 were found and tracked on E1B/C. The PLAN software GSNRx was also able to track simultaneously GPS L1 and GLONASS L1 and produce combined position solutions.
Examining the Galileo navigation message transmitted on the E1B signal, it was found that the satellite health status is flagged as E1BHS=3 meaning Signal Component currently in Test, and the data validity status is flagged as E1BDVS=1 meaning Working without Guarantee. Current Galileo-ready commercial receivers may automatically discard measurements from a satellites broadcasting such messages. Parsing the received words in the I/NAV message, it was noted that more 50 percent of them were of type 0, although all words (types 0 to 10) were decoded at some point during the test.
Data was collected using a roof-mounted NovAtel 702GG antenna and an in-house two-channel digitizing front-end clocked by a high quality OCXO and also a three-channel National Instruments front-end for post-processing. The two-channel intermediate frequency data was streamed live to a laptop computer for real-time processing with GSNRx. Two RF channels were processed, the first centered at 1574.0 MHz with an IF bandwidth of 10.0 MHz, for the GPS L1 C/A and Galileo E1B/C signals and the second centered at 1602.0 MHz again with a bandwidth of 10.0 MHz, for the GLONASS L1 OF signals. The GPS and GLONASS signals were tracked using a Kalman-filter-based tracking strategy while the Galileo signals were tracked using a specialized data-pilot algorithm.

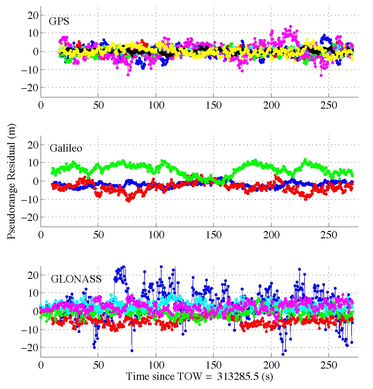
Pseudorange and Doppler observations were extracted from the tracking strategies at a rate of 2 Hz. A 2D horizontal plot of the combined GPS & GLONASS and the combined Galileo, GLONASS & GPS single-frequency single-point solutions is presented in Figure 1.

The pseudorange residuals are plotted against time for each PRN tracked from each of the three systems in Figure 3. It is apparent that the addition of the three Galileo observations contributes to a reduction in bias and standard deviation in the horizontal directions, showing an excellent functioning of the Galileo satellites and PLAN Group equipment and software.


Contact: Dr. James T. Curran
Email: James.T.Curran at ucalgary.ca